شرح القصور الجزئية والإعداد المركبة كلية
الأعداد المركبة حصة 1 ماهو العدد المركب السادس العلمي
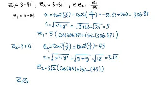
الخ لاصة الرياضيات الأعداد المركبة خواص الصورة القطبية أ مهاجر عبدالرحمن
نظرية ديمواڤر السادس العلمي الأعداد المركبة حصة 1
الاعداد المركبة I والاعداد التخيلية ت والصورة المثلثية شكل آرجاند اولى جامعه
Complex Number الأعداد المركبة
Complex Numbers Part 1 الأعداد المركبة الجزء الاول
Complex Numbers شرح الأعداد المركبة
ما هي قصة الاعداد المركبة
رياضيات الجامعه جبر الأعداد المركبة الأعداد المركبة
De Moivre S Theorem Power Of Complex Numbers نظرية ديموافر لحساب اس الاعداد المركبة
الصورة القطبية للصف السادس العلمي الأعداد المركبة حصة 1
مقدمة عن الاعداد المركبة الجزء الاول جبر للصف الاول الثانوي ترم اول حصة 2
الدرس 5 المرافق في الأعداد المركبة Lecture 5 Conjugates In Complex Analysis
الكسور الجزيئية Partial Fraction Algebra الجزء الأول دكتوره غادة ثروت منهج الجامعات
الصورة القطبية للعدد المركب ـ الفصل الأول
Complex Numbers Polar Form الاعداد المركبة الصورة القطبية
الأعداد المركبة إيجاد جذور تربيعية بطريقة رائعة مع تمارين H W
